Wer in Ribnitz-Damgarten nachfragt, bekommt zu Pütnitz seit Jahren dieselbe Antwort: möglichst wenig, möglichst spät, möglichst vage. Statt offener Debatte erleben wir eine Stadtspitze, die beim geplanten Massentourismus lieber mauert, als ehrlich zu informieren. Und wenn Bürgerinnen und Bürger ihr gutes Recht nutzen, wird nicht etwa aufgeklärt – sondern blockiert.
Das sichtbarste Beispiel: der Kaufvertrag für die Halbinsel Pütnitz.
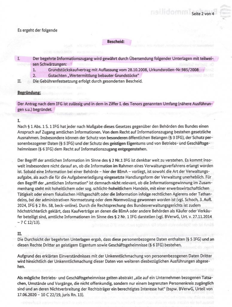
Die Stadt will bis heute nicht, dass dieser Vertrag öffentlich wird – obwohl er die Grundlage für Entscheidungen ist, die unsere Region dauerhaft verändern. Es geht um einen Vertrag aus 2008, abgeschlossen zwischen der Stadt Ribnitz-Damgarten und der Bundesanstalt für Immobilienaufgaben (BImA).
Bürger fragen – Stadt mauert
Weil die Stadt den Vertrag nicht herausgeben will, hat unsere Bürgerinitiative den direkten Weg gewählt: IFG-Antrag bei der BImA (Informationsfreiheitsgesetz). Ganz offiziell, ganz sauber.
Die BImA hat die Stadt in das Verfahren einbezogen – und dann kam, was wir seit Jahren kennen:
Die Stadt lehnte die Herausgabe vollständig ab.
Nicht nur das: Sie behauptete sogar, es handle sich gar nicht um „amtliche Informationen“. Außerdem wurde mit angeblichen „Betriebs- und Geschäftsgeheimnissen“ argumentiert. Übersetzt heißt das: Die Bürger sollen es nicht wissen. Punkt.
Bundesanstalt für Immobilienaufgaben bestätigt zweimal: Die Stadt liegt falsch
Und jetzt kommt der entscheidende Punkt:
- 06.08.2025: Die BImA entscheidet: Der Kaufvertrag vom 28.10.2008 muss herausgegeben werden mit teilweisen Schwärzungen, wo es rechtlich nötig ist.
- Die Stadt legt Widerspruch ein.
- 06.01.2026: Auch im Widerspruchsbescheid wird die Stadt vollständig zurückgewiesen. Klare Ansage: Transparenz ist Pflicht – nicht freiwillige Gefälligkeit.
Die BImA hat uns anschließend schriftlich mitgeteilt: Solange die Entscheidung noch nicht endgültig „bestandskräftig“ ist, dürfen die Unterlagen noch nicht verschickt werden. Sobald klar ist, ob die Stadt klagt oder nicht, wird die BImA uns informieren.
Letzte Chance für die Stadt: Klage – und wir zahlen die Rechnung
Nach Zustellung am 09.01.2026 hatte die Stadt nur noch eine Option: Klage vor Gericht. Diese Frist ist gestern abgelaufen.
Und jetzt stellen wir die Frage, die sich viele stellen:
Hat die Stadt wirklich Klage erhoben – und ist bereit, weiter Steuergeld zu verbrennen, nur damit Bürgerinnen und Bürger keine Einsicht in einen zentralen Vertrag bekommen?
Wenn ja, dann wäre das der nächste Tiefpunkt einer Politik, die auf Pütnitz offenbar lieber Geheimhaltung organisiert als Bürgerbeteiligung.
Warum das so wichtig ist
Es geht nicht um Neugier. Es geht um demokratische Mindeststandards:
- Wer Großprojekte und Massentourismus plant, muss transparent sein.
- Wer Entscheidungen mit langfristigen Folgen trifft, muss nachvollziehbar handeln.
- Und wer Vertrauen will, darf nicht die eigene Bevölkerung wie Störenfriede behandeln.
Dokumente als Beleg
Damit niemand behaupten kann, das seien nur „Behauptungen“:
👉 Der Bescheid (06.08.2025) und die Information zum Widerspruchsbescheid vom 06.01.2026 sind nachfolgend beigefügt.


